Регистрация
Многоканальный
+7 (495) 727-37-85
Мобильный
+7 (926) 533-34-53
Cамовывоз:
Москва, м. Селигерская
Коровинское шоссе 5к2

КАТАЛОГ ТОВАРОВ
sales@conetec.ru
+7 (495) 727-37-85
Корзина пуста

SUVTP20KH2B4S APC Smart-UPS VT ИБП 20 кВА/16 кВт, 6 мин, 400V 3PH

SUVTP20KH2B4S
SUVTP20KH2B4S
SUVTP20KH2B4S
Параметры продукта
Артикул
SUVTP20KH2B4S
Производитель
APC
Серия
APC Smart-UPS VT
Топология ИБП
Двойное преобразование
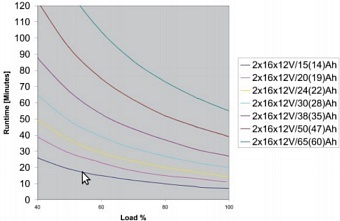
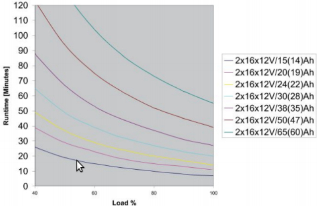
Время работы
6 мин 16 кВт/18 мин 8 кВт
Емкость АКБ
4983 ВА/ч
Входное напряжение
400V 3PH
Входной соединитель
Hard 5-Wire 3PH+N+G
Выходная мощность (ВА)
20 кВА
Выходная мощность (Вт)
16 кВт
Цвет
черный
Дисплей
Монохромный ЖК-дисплей
Время зарядки
4 часа
DATASHEET

SUVTP.pdf 0.96 Mb

Артикул: SUVTP20KH2B4S Производитель: APC
1 026 036 руб
855 030 руб без НДС
шт.
на заказ
В корзину
ИБП APC Smart-UPS VT 16 кВт/20 кВА SUVTP20KH2B4S. Входное напряжение 400V 3PH (304 - 477 В) 5 клемм (3PH+N+G), выходное 400V 3PH (3PH+N+G). Автономная работа 6 мин 16 кВт/18 мин 8 кВт

ИБП APC SUVTP20KH2B4S с портами DB-9 RS-232 и Smart-Slot увеличивает общую емкость питания с помощью нескольких источников бесперебойного питания одновременно. Это приспособление используется для обеспечения избыточности питания Вашего оборудования (например, в условиях с нестабильной поставкой электроэнергии).

Использование

Это приспособление предназначено для хранения резервного запаса энергии, гарантируя непрерывность рабочих процессов в непродолжительные периоды отключения передачи электрического тока.Таким образом, Вы обеспечите бесперебойное функционирование для серверных комнат, сетей передачи голоса/данных, медицинских лабораторий и различных промышленных помещений с оборудованием, питающимся от электрической сети.

Качество APC

APC выпускает устройства и аксессуары корпоративного класса, с присущими им надежностью и высоким качеством исполнения. Корпус SUVTP20KH2B4S изготовлен из прочных, экологически чистых материалов и защищает внутренние компоненты от попадания пыли и прочего внешнего негативного воздействия.

Жидкокристаллический дисплей

Жидкокристаллический дисплей определяет более 20 различных состояний аккумулятора.

Светодиодные индикаторы и звуковые сигналы

Пользователи могут быстро понимать текущие состояния устройства и питания через визуальные и звуковые индикаторы.

Возможности размещения

Учитывая габариты (559 х 813 х 1499 мм) и достаточно большой вес (445,91 кг), наиболее предпочтительным вариантом размещения является напольная установка.

Возможность горячей замены

Вы можете Заменять отдельные батареи APC SUVTP20KH2B4S без прерывания функционирования всей системы. Таким образом, в случае отсутствия некоторых элементов в корпусе, Ваше оборудование по-прежнему будет застраховано от внезапного сбоя в питании.

Основные преимущества

Маркетинговые характеристики
Масштабируемость по времени работы от аккумуляторов При необходимости позволяет быстро увеличить время автономной работы.
Замена батарей во время работы ИБП Обеспечение защищаемого оборудования чистым синусоидальным бесперебойным питанием при замене аккумуляторных батарей.
Ручной сервисный байпас Сокращение расходов на установку за счет избавления от необходимости во внешнем механическом переключателе ввода резерва.
Двойной ввод электропитания Повышение эксплуатационной готовности за счет возможности подключения ИБП к двум независимым источникам питания
Управление ИБП через локальную сеть Возможность дистанционного управления ИБП по сети.
Корректировка коэффициента мощности на входе Минимизация затрат на установку за счет применения генераторов меньшей мощности и использования кабелей меньшего сечения.
Администрируемость
Разъем SmartSlot Применение плат управления позволяет модифицировать набор возможностей ИБП.
Программируемая частота Совместимость с сетями различной частоты.
Управление ИБП через локальную сеть Возможность дистанционного управления ИБП по сети.
Светодиодные индикаторы состояния Визуальные индикаторы быстро дают представление о состоянии устройства и электропитания.
Звуковые сигналы Уведомление об изменениях сетевого электропитания и условий работы ИБП.
Совместимо с InfraStruXure Manager Возможность централизованного управления с помощью APC InfraStruXure Manager.
ЖК-дисплей Алфавитно-цифровой дисплей отображает системные параметры и аварийные сообщения.
Ремонтопригодность
Может поставляться с установленными модулями Возможность запустить и протестировать ИБП еще до его установки на месте эксплуатации, что позволяет ускорить процесс инсталляции.
Замена батарей без использования инструментов Позволяет быстро и легко заменять аккумуляторные батареи.
Встроенный автоматический тест работоспособности ИБП Регулярная самодиагностика батарей позволяет своевременно обнаружить батарею, подлежащую замене.
Модульная конструкция Возможность быстрого технического обслуживания и сокращение потребности в техническом обслуживании, благодаря использованию самодиагностики и заменяемым на месте эксплуатации модулям.
Готовность
Совместимо с резервными генераторами Обеспечение защищаемого оборудования чистым синусоидальным бесперебойным питанием при работе от генератора.
Автоматический внутренний байпас В случае перегрузки или неисправности ИБП нагрузки переключатся на питание от электросети.
Батарейные модули соединены параллельно Обеспечение более высокого уровня эксплуатационной готовности, благодаря резервированию батарей.
Двойной ввод электропитания При необходимости позволяет быстро увеличить время автономной работы.
Масштабируемость по времени работы от аккумуляторов Повышение эксплуатационной готовности за счет возможности подключения ИБП к двум независимым источникам питания.
Замена батарей во время работы ИБП Обеспечение защищаемого оборудования чистым синусоидальным бесперебойным питанием при замене аккумуляторных батарей.
Совокупная стоимость владения
Ручной сервисный байпас Сокращение расходов на установку за счёт исключения необходимости использования внешнего сервисного байпаса.
Корректировка коэффициента мощности на входе Минимизация затрат на установку за счет применения генераторов меньшей мощности и использования кабелей меньшего сечения.
Интеллектуальное управление батареями Максимальное повышение эффективности батареи, увеличение срока ее службы и надежности за счет точной интеллектуальной зарядки.
Зарядка батарей с применением температурной компенсации Продление срока службы батарей за счет регулирования зарядного напряжения по температуре батарей.
Защита
Запуск ИБП при отсутствии электричества в сети ("холодный старт") Обеспечение временного питания от батарей в случае возникновения перерыва подачи сетевого электропитания.
Регулировка частоты и напряжения Регулировка частоты и напряженияПовышение эксплуатационной готовности систем за счет корректировки отклонений частоты и напряжения от нормы без использования батарей.
Получены подтверждения соответствия требованиям безопасности от контролирующих организаций Продукт прошел тестирование и обеспечивает безопасную работу подключенного оборудования поставщика услуг в указанных условиях эксплуатации.

Технические показатели

SUVTP20KH2B4S обладает следующими характеристиками:
ХарактеристикаПоказатель
Выходящая мощность20kVA/400W
Входящее напряжение380-415V
Выходящее напряжение/частотность400V/40-70 Гц +/- 3 ГГц
Габариты559 х 813 х 1499 мм